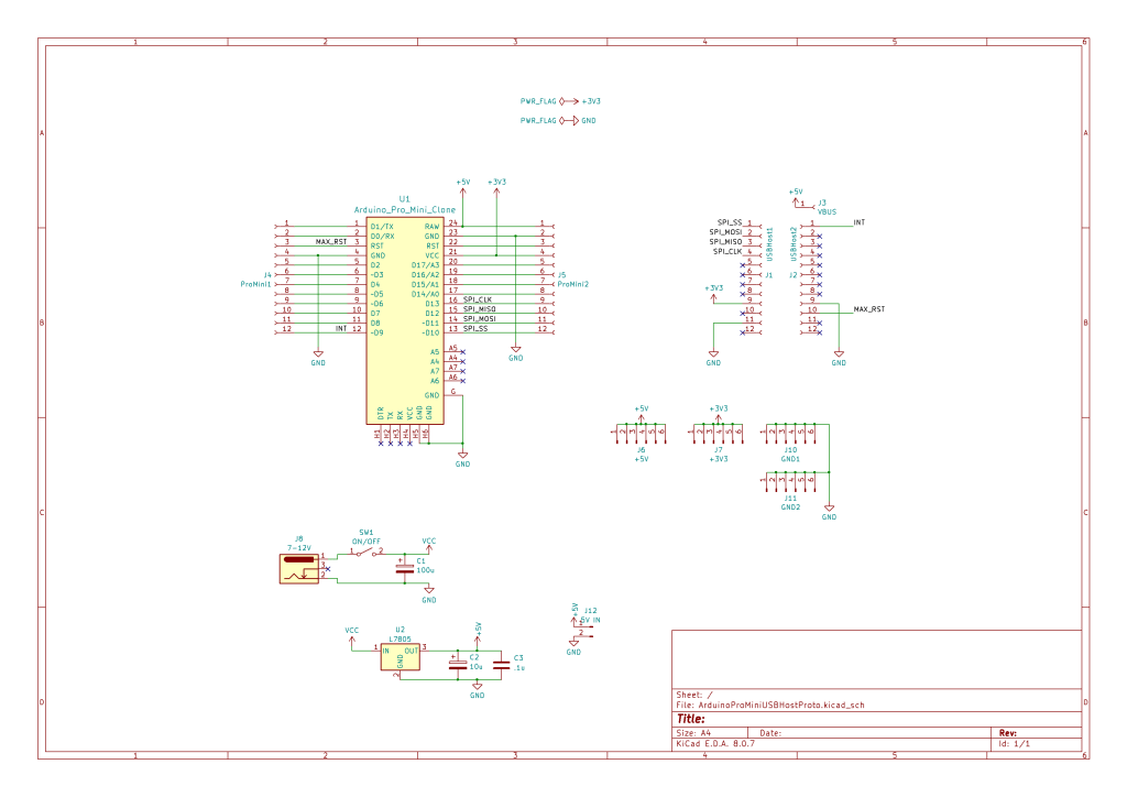
This is a prototyping board for an Arduino Pro Mini and mini USB Host shield.

Warning! I strongly recommend using old or second hand equipment for your experiments. I am not responsible for any damage to expensive instruments!
If you are new to electronics and microcontrollers, see the Getting Started pages.
The Circuit

This is mostly just breaking out the pins for an Arduino Pro Mini onto a set of additional headers for use with a mini USB Host shield.
There are additional headers for power and GND and it includes the option for powering via a 7-12V barrel jack into via a 7805 regulator or directly via 5V into a set of jumper header pins.
PCB Design

In previous designs I’ve opted to assume that the USB host shield will be mounted directly onto the Arduino Pro Mini, but this time I’ve separated them out for more flexibility.
I may decide I should have just left them together, but I didn’t think I’d be able to use pin headers and sockets in quite the same way with the headers already connecting two boards.
With hindsight I’m now wondering if I should have passed through all the Arduino Pins to the shield part. As it stands, it only has the connections required for the USB host shield.
All of the pins are broken out either side of the prototyping area however, but only the usable pins have been labelled.

Closing Thoughts
This was a somewhat speculative build based on the idea that I’d want to experiment with a USB host device and some additional circuitry.
But my main need has been satisfied by an alternative build (more on that later), so for now this is probably a “why not, might come in useful” build.
Kevin